11月21日,贵州省遵义市播州区鸭溪镇团结村尧平组村民苟德丽致函上级有关部门反映称,贵州鸿信佳商务信息咨询有限公司、贵州诚聚汇商务信息咨询有限公司等多家公司以办理贷款为名行骗,致使许多人上当受骗,蒙受经济损失。

在提交给上级有关部门的一份书面反映材料中,苟德丽陈述了事情经过:我叫苟德丽,1981年10月出生,男,汉族,初中文化程度,是贵州省遵义市播州区鸭溪镇团结村尧平组的一位普通村民。我是在贵阳市金融中心上当受骗的成千上万人当中的其中一个人,也许众多受骗的人和我们是同样的想法,在创业的过程中,遇到了资金困难,想通过借贷的方式渡过难关,这就给了一些行骗者行骗的机会,其手段、方法相当高明。


我们个人在银行办理借贷比较困难,加上对银行贷款程序不清楚,基本上是银行负责人口述告知能贷就贷,不能贷款就叫你走人,这些行骗者就以几十人为一个单位组成一个团伙开始行骗。行骗过程基本相似。就拿我们来说,先是接到一个陌生的电话,对方说是专门办理贷款的公司,问需不需要办理贷款,他(她)们是专门办理这种业务的公司,并说明与各大银行的信贷部门的领导有关系,可以用个人良好的银行信用记录、营业执照和银行所产生的流水以及个人名下保险单等作为借贷条件,向银行为我们申请到几十万元到几百万元不等的贷款。我们心想自己办贷款比较难,就去看一下。


到了地点以后,看到他们确有专门办公场所,而且团队看起来较为专业,各部门齐全,向受骗人说明他们向银行办理借贷方法与过程,并要求出示相关的营业执照、保险单复印件等,并说明根据个人的信用记录好坏以及贷款金额的大小评估借贷难度,收取贷款总金额百分之三至百分之十不等的手续费用。为了表示双方的诚意,先交纳50%或者全部的手续费,作为帮助办理借贷款的酬劳。并且要和我们签订协议,协议说明借贷办理时间为25个工作日以上,办不了全款退还。时间到了就以各种借口拖延,最后等大家都去找的时候,已人去楼空。



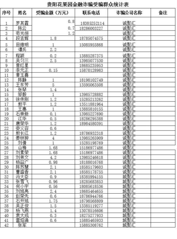
据初步统计,在贵阳涉嫌行骗的部分公司名单及地址如下:1、众鑫锦程,花果园金融大厦9层13层;2、亿容乾,花果园金融大厦17层;3、黔鑫时代,花果园金融街5号16楼;4、诚聚汇,花果园国际中心3号B座11楼;5、永鑫锦和,花果园财富广场38层;6、鸿信佳,花果园金融街3号15楼;7、优瑞鸿,观山湖中天金融101大厦A座23楼;8、仁恒易信,花果园金融街2号33层;9、安瑞汇信,花果园金融大厦8楼;10、中宜融信,花果园金融街1号楼35层;11、金城鸿运,花果园金融大厦20楼。


公开资料显示:贵州鸿信佳商务信息咨询有限公司成立于2017年7月28日,类型:有限责任公司(自然人独资);住所:贵阳市云岩区富水中路19号附3号;法定代表人:田飞;登记机关:云岩区市场监督管理局;贵州诚聚汇商务信息咨询有限公司成立于2017年7月10日,类型:有限责任公司(自然人独资);住所:贵阳市云岩区省府北街51—3号;法定代表人:杨永生;登记机关:云岩区市场监督管理局。
综上所述,被骗人数和金额目前无法完全统计,我们也通过电话和到贵阳当地的公安机关报案,至今尚无一个明确的结果。“贵阳是我省的政治和经济中心。如果背后没有保护伞,这些人不可能这样无法无天。”贵州省遵义市播州区鸭溪镇团结村尧平组村民苟德丽说,恳求上级领导给予高度重视,给受害的人们一个答复为盼。(来源:中国法制报道 作者:尚小丽)
原文来自中国民生播报:http://www.zgmsbb.net/a/qiyedongtai/20171122/194188.html










